EF411(经济型)
发布日期:2021-06-24 浏览次数:1818

应用领域
作为经济型数据电缆适用于机床工业、输送系统、包装行业等场合的数据及信号传输。该电缆适用于中等机械负载下频繁弯曲移动的场合。芯线对绞结构可有效减少串音,整体镀锡铜丝屏蔽可防止外部电磁干扰。
电缆结构
导体:精绞成束细裸铜丝,DIN VDE 0295/EN 60228 6类
绝缘:高机械性能PVC混合物
芯线识别:截面积≤0.25mm2:分色识别
截面积≥0.34mm2:黑色芯线,白色数字编码,黄/绿芯线可选
芯线排列:芯线以短节距绞合
内衬层:聚酯薄膜绕包
总屏蔽:镀锡铜丝编织屏蔽
外护套:PVC混合物,浅灰色(近似RAL 7001),黑色(近似RAL 9005),绿色(近似RAL 6018)
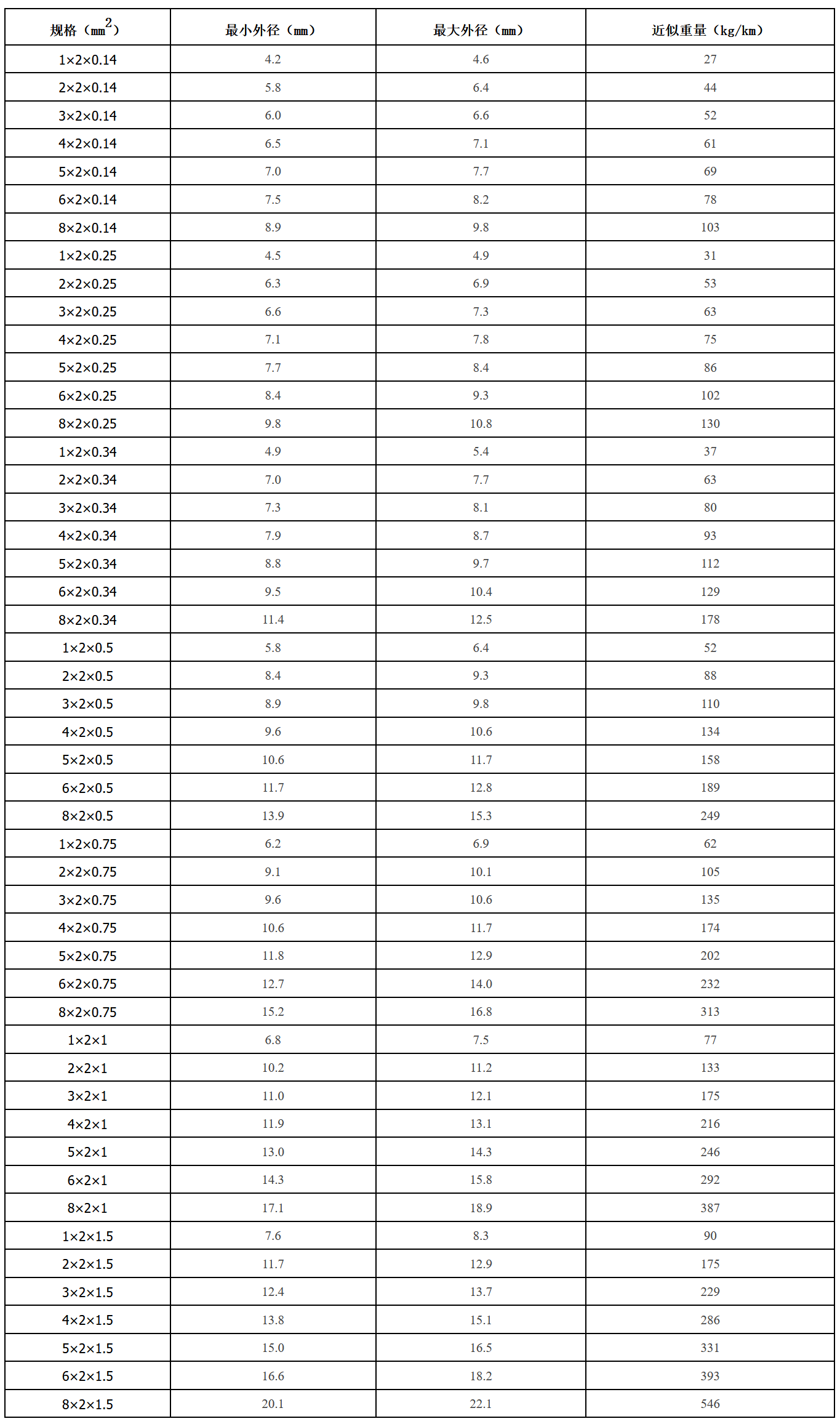
技术参数
额定电压:300V
测试电压:1500V
最小弯曲半径
移动安装:10×D(D=电缆外径)
固定敷设:5×D(D=电缆外径)
温度范围
移动安装:-5℃~70℃
固定敷设:-20℃~80℃
最大速度:架空 2m/s
使用寿命:300万次以上
- 上一篇:EF321(经济型)
- 下一篇:EF421(经济型)